- 發布時間2020-10-08 17:25
- 發布人金彩集團
- 瀏覽次數3927
靈敏的微波探測器在射電天文學,暗物質軸子搜索和超導量子信息科學中至關重要。獲得高靈敏度輻射熱測定的常規策略是納米加工更小尺寸的器件,以增強熱響應。然而,由于表面污染,在具有大比表面積的器件中,難以獲得有效的光子耦合,并且難以維持材料性能。
有鑒于此,近日,美國雷神公司Kin Chung Fong等提出了一種基于單層石墨烯的薄輻射熱傳感器。為了利用石墨烯的微小電子比熱和導熱率,開發了嵌入在微波諧振器中的超導體-石墨烯-超導體約瑟夫森結輻射熱測量儀,其諧振頻率為7.9 GHz,耦合效率超過99%。約瑟夫森開關電流對工作溫度、電荷密度、輸入功率和頻率的依賴性表明,每平方根赫茲的等效噪聲功率為7×10-19 W,對應于單個32千兆赫光子的能量分辨率,達到由內部熱波動在0.19 K下施加的基本極限。本文的結果表明,二維材料可以使輻射熱計的開發具有熱力學定律所允許的最高靈敏度。

圖1. 基于石墨烯的約瑟夫森結微波輻射熱計。

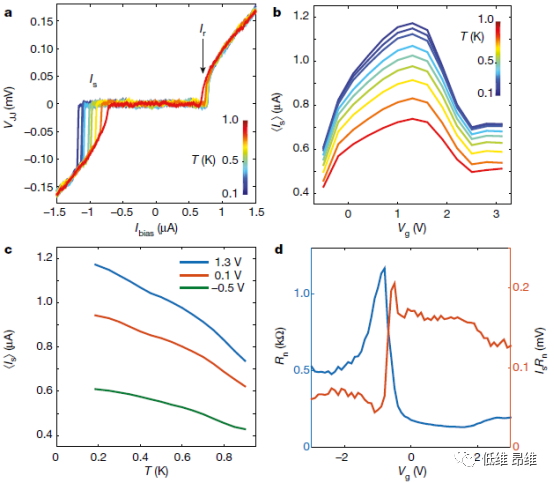
圖2. GJJ開關電流的特性。

圖3. 將該器件用作測輻射熱儀并測量探測器效率。

圖4. 輻射熱計的靈敏度和基本波動極限。
- 上一篇
『石墨烯制備』大面積單晶粒石墨烯層的自然生長
- 下一篇
沒有了








,同時按鍵盤或小鍵盤上的
,放大視圖顯示。
,縮小視圖顯示。


蘇公網安備 32098102321209號